2024 AMC 8

Complete problem set with solutions and individual problem pages

Problem 1 Easy

What is the unit digit of:

222{,}222-22{,}222-2{,}222-222-22-2?

  • A.

    0

  • B.

    2

  • C.

    4

  • D.

    8

  • E.

    10

Answer:B

Solution 1

We can rewrite the expression as 222,222-(22,222+2,222+222+22+2). We note that the units digit of 22,222+2,222+222+22+2 is 0 because all the units digits of the five numbers are 2 and 5\cdot2=10, which has a units digit of 0. Now, we have something with a units digit of 0 subtracted from 222,222, and so the units digit of this expression is \boxed{\textbf{(B) } 2}.

 

Solution 2

We only care about the units digits. Thus, 2-2 ends in 0, 0-2 after regrouping(10-2) ends in 8, 8-2 ends in 6, 6-2 ends in 4, and 4-2 ends in \boxed{\textbf{(B) } 2}.

Link Problem
Problem 2 Easy

What is the value of this expression in decimal form?

\frac{44}{11} + \frac{110}{44} + \frac{44}{1100}

  • A.

    6.4

  • B.

    6.504

  • C.

    6.54

  • D.

    6.9

  • E.

    6.94

Answer:C

We see that \frac{44}{11} is 4; \frac{110}{44} simplifies to \frac{5}{2}, which is 2.5;

and \frac{44}{1100} simplifies to \frac{1}{25}, which is 0.04;

4+2.5+0.04 reveals

\frac{44}{11} + \frac{110}{44} + \frac{44}{1100}

is \boxed{\text{(C) 6.54}}.

Link Problem
Problem 3 Easy

Four squares of side length 4, 7, 9, and 10 are arranged in increasing size order so that their left edges and bottom edges align. The squares alternate in color white-gray-white-gray, respectively, as shown in the figure. What is the area of the visible gray region in square units?

  • A.

    42

  • B.

    45

  • C.

    49

  • D.

    50

  • E.

    52

Answer:E

Solution 1

We work inwards. The area of the outer shaded square is the area of the whole square minus the area of the second largest square. The area of the inner shaded region is the area of the third largest square minus the area of the smallest square. The sum of these areas is

10^2 - 9^2 + 7^2 - 4^2 = 100 - 81 + 49 - 16 = 19 + 33 = \boxed{\textbf{(E)}\ 52}

 

Solution 2

In solution 1, we can use Difference of squares to get the answer, rather than calculating the squares of the numbers:

10^2 - 9^2 + 7^2 - 4^2 = (10 - 9)(10 + 9) - (7 - 4)(7 + 4) = 1\cdot19 + 3\cdot11 = 19 + 33 = \boxed{\textbf{(E)}\ 52}

Link Problem
Problem 4 Easy

When Yunji added all the integers from 1 to 9, she mistakenly left out a number. Her incorrect sum turned out to be a square number. What number did Yunji leave out?

  • A.

    5

  • B.

    6

  • C.

    7

  • D.

    8

  • E.

    9

Answer:E

Adding numbers 1 through 9 gives us 45. This was her expected sum, but what she got was a perfect square. Since she got that perfect square sum by forgetting a number, that sum is less than 45. The square number right under 45 is 36. So 45 - 36 = 9. So the solution is E[9].

Link Problem
Problem 5 Easy

Aaliyah rolls two standard 6-sided dice. She notices that the product of the two numbers rolled is a multiple of 6. Which of the following integers cannot be the sum of the two numbers?

  • A.

    5

  • B.

    6

  • C.

    7

  • D.

    8

  • E.

    9

Answer:B

Solution 1

First, figure out all pairs of numbers whose product is 6. Then, using the process of elimination, we can find the following:

\textbf{(A)} is possible: 2\times 3

\textbf{(C)} is possible: 1\times 6

\textbf{(D)} is possible: 2\times 6

The only integer that cannot be the sum is \boxed{\textbf{(B) } 6}.

 

Solution 2

First, see that in order for the two numbers to have a product of 6, it must either have 6 as a factor or have factors that have a product of 6 (Notably 2\times 3).

When we look at the answer choices, we see that answers C, D, E all are more than 6, so they can all be added as a sum of 6. Answer A works because 2+3=5, so 6 is the only answer choice that doesn't work. Thus, the answer is \boxed{\textbf{(B) } 6}.

Link Problem
Problem 6 Easy

Sergai skated around an ice rink, gliding along different paths. The gray lines in the figures below show four of the paths labeled P, Q, R, and S. What is the sorted order of the four paths from shortest to longest?

  • A.

    P,Q,R,S

  • B.

    P,R,S,Q

  • C.

    Q,S,P,R

  • D.

    R,P,S,Q

  • E.

    R,S,P,Q

Answer:D

Solution 1

You can measure the lengths of the paths until you find a couple of guaranteed true inferred statements as such: Q is greater than S, P is greater than R, and R and P are the smallest two, therefore the order is R, P, S, Q. Thus we get the answer \boxed{\textbf{(D)}~R, P, S, Q}.

 

Solution 2

Obviously Path Q is the longest path, followed by Path S.

So, it is down to Paths P and R.

Notice that curved lines are always longer than the straight ones that meet their endpoints, therefore Path P is longer than Path R.

Thus, the order from shortest to longest is \boxed{\textbf{(D) } \text{R, P, S, Q}}.

Link Problem
Problem 7 Easy

A 3 \times 7 rectangle is covered without overlap by 3 shapes of tiles: 2 \times 2, 1\times4, and 1\times1, shown below. What is the minimum possible number of 1\times1 tiles used?

  • A.

    1

  • B.

    2

  • C.

    3

  • D.

    4

  • E.

    5

Answer:E

Solution 1

We can eliminate B, C, and D, because they are not 21 subtracted by any multiple of 4. Finally, we see that there is no way to have A, so the solution is \boxed{\textbf{(E) 5}}.

 

Solution 2

Let x be the number of 1 by 1 tiles. There are 21 squares and each 2 by 2 or 1 by 4 tile takes up 4 squares, so x \equiv 1 \pmod{4}, so it is either 1 or 5. Color the columns, starting with red, then blue, and alternating colors, ending with a red column. There are 12 red squares and 9 blue squares, but each 2 by 2 and 1 by 4 shape takes up an equal number of blue and red squares, so there must be 3 more 1 by 1 tiles on red squares than on blue squares, which is impossible if there is just one, so the answer is \boxed{\textbf{(E) 5}}, which can easily be confirmed to work.

Link Problem
Problem 8 Easy

On Monday, Taye has $2. Every day, he either gains $3 or doubles the amount of money he had on the previous day. How many different dollar amounts could Taye have on Thursday, 3 days later?

  • A.

    3

  • B.

    4

  • C.

    5

  • D.

    6

  • E.

    7

Answer:D

Solution 1

How many dollar values could be on the first day? Only 2 dollars. The second day, you can either add 3 dollars, or double, so you can have 5 dollars, or 4. For each of these values, you have 2 values for each. For 5 dollars, you have 10 dollars or 8, and for 4 dollars, you have 8 dollars or 7 dollars. Now, you have 2 values for each of these. For 10 dollars, you have 13 dollars or 20, for 8 dollars, you have 16 dollars or 11, for 8 dollars, you have 16 dollars or 11, and for 7 dollars, you have 14 dollars or 10.

On the final day, there are 11, 11, 16, and 16 repeating, leaving you with 8-2 = \boxed{\textbf{(D) 6}} different values.

 

Solution 2

Continue as in Solution 1 to get 7, 8, or 10 dollars by the 2nd day. The only way to get the same dollar amount occurring twice by branching (multiply by 2 or adding 3) from here is if 7+3=10\cdot 2 or 7+3=8\cdot 2 which both aren't true. Hence our answer is 3\cdot2=\boxed{\textbf{(D) 6}}.

Link Problem
Problem 9 Easy

All the marbles in Maria's collection are red, green, or blue. Maria has half as many red marbles as green marbles, and twice as many blue marbles as green marbles. Which of the following could be the total number of marbles in Maria's collection?

  • A.

    24

  • B.

    25

  • C.

    26

  • D.

    27

  • E.

    28

Answer:E

Solution 1

Since she has half as many red marbles as green, we can call the number of red marbles x, and the number of green marbles 2x. Since she has half as many green marbles as blue, we can call the number of blue marbles 4x. Adding them up, we have: 7x marbles. The number of marbles therefore must be a multiple of 7, as x represents an integer, so the only possible answer is \boxed{\textbf{(E) 28}}.

 

Solution 2

Suppose Maria has g green marbles and t total marbles. She then has \frac{g}{2} red marbles and 2g blue marbles. Altogether, Maria has

g + \frac{g}{2} + 2g = \frac{7g}{2} = t

marbles, so g = \dfrac{2t}{7}, so t must be a multiple of 7. The only multiple of 7 in the answer choices is \boxed{\textbf{(E) 28}}.

Link Problem
Problem 10 Easy

In January 1980 the Mauna Loa Observatory recorded carbon dioxide (CO2) levels of 338 ppm (parts per million). Over the years the average CO2 reading has increased by about 1.515 ppm each year. What is the expected CO2 level in ppm in January 2030? Round your answer to the nearest integer.

  • A.

    399

  • B.

    414

  • C.

    420

  • D.

    444

  • E.

    459

Answer:B

Solution 1

This is a time period of 2030 - 1980 = 50 years, so we can expect the ppm to increase by 50*1.515=75.75\approx 76 ppm. Since we started with 338 ppm, we have 76+338=\boxed{\textbf{(B) 414}}.

 

Solution 2

2030 - 1980 = 50 years. The ppm level in 2030 is 338 + 50 * 1.515 = 338 + 75.75 = 413.75 \approx \boxed{\textbf{(B) 414}}.

Link Problem
Problem 11 Medium

The coordinates of \triangle ABC are A(5,7), B(11,7), and C(3,y), with y>7. The area of \triangle ABC is 12. What is the value of y?

  • A.

    8

  • B.

    9

  • C.

    10

  • D.

    11

  • E.

    12

Answer:D

Solution 1

Since the triangle has a base of 6, we can plug in that value as the base. Then, we can solve the equation for the height. Doing so gives us,

\dfrac{6h}{2}=3h=12.

This means that h=4, so that means that we have to add 4 to the y-coordinate. So the answer is 7+4=\boxed{(D) 11}

 

Solution 2

By the Shoelace Theorem, \triangle ABC has area

\frac{1}{2}|(y \cdot 11 + 7 \cdot 5 + 7 \cdot 3) - (3 \cdot 7 + 11 \cdot 7 + 5 \cdot y)| = \frac{1}{2}|(11y + 56) - (98 + 5y)| = \frac{1}{2}|6y - 42|.

From the problem, this is equal to 12. We now solve for y.

\frac{1}{2}|6y - 42| = 12

|6y-42| = 24

6y - 42 = 24 OR 6y - 42 = -24

6y = 66 OR 6y = 18

y = 11 OR y = 3

However, since, as stated in the problem, y > 7, our only valid solution is \boxed{\textbf{(D)} 11}.

Link Problem
Problem 12 Medium

Rohan keeps 90 guppies in 4 fish tanks.

- There is 1 more guppy in the 2nd tank than in the 1st tank.

- There are 2 more guppies in the 3rd tank than in the 2nd tank.

- There are 3 more guppies in the 4th tank than in the 3rd tank.

How many guppies are in the 4th tank?

  • A.

    20

  • B.

    21

  • C.

    23

  • D.

    24

  • E.

    26

Answer:E

Solution 1

Let x denote the number of guppies in the first tank.

Then, we have the following for the number of guppies in the rest of the tanks:

- The number of guppies in the second tank is x+1

- The number of guppies in the third tank is x+1+2

- The number of guppies in the fourth tank is x+1+2+3

The number of guppies in all of the tanks combined is 90, so we can write the equation

(x)+(x+1)+(x+1+2)+(x+1+2+3) = 90.

Simplifying the equation gives

4x + 10 = 90.

Solving the resulting equation gives x = 20, so the number of guppies in the fourth tank is 20+1+2+3 = \boxed{\textbf{(E)}\ 26}.

 

Solution 2

Suppose there are no guppies in the first tank. Then, the number of guppies in the other tanks are 1,3, and 6, or 10 guppies in total. We need to add 90-10 = 80 guppies into 4 tanks or 20 guppies in each tank, so the number of guppies in the fourth tank is 20+6 = \boxed{\textbf{(E)}\ 26}.

Link Problem
Problem 13 Medium

Buzz Bunny is hopping up and down a set of stairs, one step at a time. In how many ways can Buzz Bunny start on the ground, make a sequence of 6 hops, and end up back on the ground? (For example, one sequence of hops is up-up-down-down-up-down.)

  • A.

    4

  • B.

    5

  • C.

    6

  • D.

    8

  • E.

    12

Answer:B

Solution 1

Looking at the answer choices, you see that you can list them out. Doing this gets you:

\mathit{UUDDUD}

\mathit{UDUDUD}

\mathit{UUUDDD}

\mathit{UDUUDD}

\mathit{UUDUDD}

Counting all the paths listed above gets you \boxed{\textbf{(B)} \ 5}.

 

Solution 2

Any combination can be written as some re-arrangement of \mathit{UUUDDD}. Clearly we must end going down, and start going up, so we need the number of ways to insert 2 U's and 2 D's into U\, \_ \, \_ \, \_ \, \_ \, D. There are {4\choose 2}=6 ways, but we have to remove the case \mathit{UDDUUD}, giving us \boxed{\textbf{(B)}\ 5}.

Link Problem
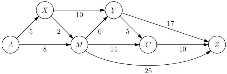
Problem 14 Medium

The one-way routes connecting towns A,M,C,X,Y, and Z are shown in the figure below(not drawn to scale). The distances in kilometers along each route are marked. Traveling along these routes, what is the shortest distance from A to Z in kilometers?

  • A.

    28

  • B.

    29

  • C.

    30

  • D.

    31

  • E.

    32

Answer:E

Solution 1

We can simply see that path A \rightarrow X \rightarrow M \rightarrow Y \rightarrow C \rightarrow Z will give us the smallest value. Adding, 5+2+6+5+10 = \boxed{28}. This is nice as it’s also the smallest value, solidifying our answer.

You can also simply brute-force it or sort of think ahead - for example, getting from A to M can be done 2 ways; A \rightarrow X \rightarrow M (5+2) or A \rightarrow M (8), so you should take the shorter route (5+2). Another example is M to C, two ways - one is 6+5 and the other is 14. Take the shorter route. After this, you need to consider a few more times - consider if 5+10 (Y \rightarrow C \rightarrow Z) is greater than 17 (Y \rightarrow Z), which it is not, and consider if 25 (M \rightarrow Z) is greater than 14+10 (M \rightarrow C \rightarrow Z) or 6+5+10 (M \rightarrow Y \rightarrow C \rightarrow Z) which it is not. TLDR: 5+2+6+5+10 = \boxed{28}.

 

Solution 2

We can execute Dijkstra's algorithm by hand to find the shortest path from A to every other town, including Z. This effectively proves that, assuming we execute the algorithm correctly, that we will have found the shortest distance. The distance estimates for each step of the algorithm (from A to each node) are shown below:

\begin{array}{|c|c|c|c|c|c|c|} \hline \text{Current node} & A & M & C & X & Y & Z \\ \hline A & 0 & 8 & \infty & 5 & \infty & \infty \\ X & 0 & 7 & \infty & 5 & 15 & \infty \\ M & 0 & 7 & 21 & 5 & 13 & 32 \\ Y & 0 & 7 & 18 & 5 & 13 & 30 \\ C & 0 & 7 & 18 & 5 & 13 & 28 \\ Z & 0 & 7 & 18 & 5 & 13 & \textbf{28} \\ \hline \end{array}

The steps are as follows: starting with the initial node A, set d(A)=0 and d(v)=\infty for all v \in \{M,C,X,Y,Z\} where d(v) indicates the distance from A to v. Consider the outgoing edges (A,X) and (A,M) and update the distance estimates d(X)=5 and d(M)=8, completing the first row of the table.

The node X is the unvisited node with the lowest distance estimate, so we will consider X and its outgoing edges (X,Y) and (X,M). The distance estimate d(Y) equals d(X)+10=15, and the distance estimate d(M) updates to d(X)+2=7, because 7 < 8. This completes the second row of the table. Repeating this process for each unvisited node (in order of its distance estimate) yields the correct distance d(Z) = \boxed{\textbf{(A) } 28} once the algorithm is complete.

Link Problem
Problem 15 Medium

Let the letters F,L,Y,B,U,G represent distinct digits. Suppose \underline{F}~\underline{L}~\underline{Y}~\underline{F}~\underline{L}~\underline{Y} is the greatest number that satisfies the equation

8\cdot\underline{F}~\underline{L}~\underline{Y}~\underline{F}~\underline{L}~\underline{Y}=\underline{B}~\underline{U}~\underline{G}~\underline{B}~\underline{U}~\underline{G}.

What is the value of \underline{F}~\underline{L}~\underline{Y}+\underline{B}~\underline{U}~\underline{G}?

  • A.

    1089

  • B.

    1098

  • C.

    1107

  • D.

    1116

  • E.

    1125

Answer:C

Solution 1

The highest that FLYFLY can be would have to be 124124, and it cannot be higher than that, because then it would be 125125, and 125125 multiplied by 8 is 1001000, and then it would exceed the 6 - digit limit set on BUGBUG.

So, if we start at 124124\cdot8, we get 992992, which would be wrong because both B \& U would be 9, and the numbers cannot be repeated between different letters.

If we move on to the next highest, 123123, and multiply by 8, we get 984984. All the digits are different, so FLY+BUG would be 123+984, which is 1107. So, the answer is \boxed{\textbf{(C)}1107}.

 

Solution 2

Notice that \underline{F}~\underline{L}~\underline{Y}~\underline{F}~\underline{L}~\underline{Y} = 1000(\underline{F}~\underline{L}~\underline{Y}) + \underline{F}~\underline{L}~\underline{Y}.

Likewise, \underline{B}~\underline{U}~\underline{G}~\underline{B}~\underline{U}~\underline{G} = 1000(\underline{B}~\underline{U}~\underline{G}) + \underline{B}~\underline{U}~\underline{G}.

Therefore, we have the following equation:

8 \times 1001(\underline{F}~\underline{L}~\underline{Y}) = 1001(\underline{B}~\underline{U}~\underline{G}).

Simplifying the equation gives

8(\underline{F}~\underline{L}~\underline{Y}) = (\underline{B}~\underline{U}~\underline{G}).

We can now use our equation to test each answer choice.

We have that 123123 \times 8 = 984984, so we can find the sum:

\underline{F}~\underline{L}~\underline{Y}+\underline{B}~\underline{U}~\underline{G} = 123 + 984 = 1107.

So, the correct answer is \boxed{\textbf{(C)}\ 1107}.

Link Problem
Problem 16 Hard

Minh enters the numbers 1 through 81 into the cells of a 9 \times 9 grid in some order. She calculates the product of the numbers in each row and column. What is the least number of rows and columns that could have a product divisible by 3?

  • A.

    8

  • B.

    9

  • C.

    10

  • D.

    11

  • E.

    12

Answer:D

Solution 1

Note you can swap/rotate any configuration of rows, such that all the rows and columns that have a product of 3 are in the top left. Hence the points are bounded by a a \times b rectangle. This has ab area and a+b rows and columns divisible by 3. We want ab\geqslant 27 and a+b minimized.

If ab=27, we achieve minimum with a+b=9+3=12.

If ab=28,our best is a+b=7+4=11. Note if a+b=10, ab=25. Because 25<27, there is no smaller answer, and we get \boxed{\textbf{(D)} 11}.

 

Solution 2

For a row or column to have a product divisible by 3, there must be a multiple of 3 in the row or column. To create the least amount of rows and columns with multiples of 3, we must find a way to keep them all together, to minimize the total number of rows and columns with multiples of threes in it. From 1 to 81, there are 27 multiples of 3 (81/3 = 27). So we have to fill 27 cells with numbers that are multiples of 3. If we put 25 of these numbers in a 5 * 5 grid, there would be 5 rows and 5 columns (10 in total), with products divisible by 3. However, we have 27 numbers, so 2 numbers still need to be put in the 9 * 9 grid. If we put both numbers in the 6th column, but one in the first row, and one in the second row, (next to the 5 by 5 grid already filled), we would have a total of 6 columns now, and still 5 rows with products that are multiples of 3. Since 6 + 5 = 11, the answer is \boxed{\textbf{(D)} 11}

Link Problem
Problem 17 Hard

A chess king is said to attack all the squares one step away from it, horizontally, vertically, or diagonally. For instance, a king on the center square of a 3 x 3 grid attacks all 8 other squares, as shown below. Suppose a white king and a black king are placed on different squares of a 3 x 3 grid so that they do not attack each other (in other words, not right next to each other). In how many ways can this be done?

  • A.

    20

  • B.

    24

  • C.

    27

  • D.

    28

  • E.

    32

Answer:E

Solution 1

If you place a king in any of the 4 corners, the other king will have 5 spots to go and there are 4 corners, so 5 \times 4=20. If you place a king in any of the 4 edges, the other king will have 3 spots to go and there are 4 edges so 3 \times 4=12. That gives us 20+12=32 spots for the other king to go into in total. So \boxed{\textbf{(E)} 32} is the answer.

 

Solution 2

We see that the center is not a viable spot for either of the kings to be in, as it would attack all nearby squares.

This gives three combinations:

Corner-corner: There are 4 corners, and none of them are touching orthogonally or diagonally, so it's \binom{4}{2}=6

Corner-edge: For each corner, there are two edges that don't border it, 4\cdot2=8

Edge-edge: The only possible combinations of this that work are top-bottom and left-right edges, so 2 for this type

6+8+2=16

Multiply by two to account for arrangements of colors to get \fbox{E) 32}.

Link Problem
Problem 18 Hard

Three concentric circles centered at O have radii of 1, 2, and 3. Points B and C lie on the largest circle. The region between the two smaller circles is shaded, as is the portion of the region between the two larger circles bounded by central angles BOC, as shown in the figure below. Suppose the shaded and unshaded regions are equal in area. What is the measure of \angle{BOC} in degrees?

  • A.

    108

  • B.

    120

  • C.

    135

  • D.

    144

  • E.

    150

Answer:A

Solution 1

Let x=\angle{BOC}.

We see that the shaded region is the inner ring plus a sector x^\circ of the outer ring. Using the formula for the area of a circle (A = \pi r^2), we find that the area of x is \left( 4 \pi - \pi \right)+\frac{x}{360} \left( 9 \pi - 4 \pi \right). This simplifies to 3 \pi + \frac{x}{360}(5 \pi).

The unshaded portion is comprised of the smallest circle plus the sector (360-x)^\circ of the outer ring, which evaluates to \pi + \frac{360-x}{360}(5 \pi).

We are told these are equal. Therefore, 3 \pi + \frac{x}{360}(5 \pi) = \pi + \frac{360-x}{360}(5 \pi). Solving for x reveals x=\boxed{\textbf{(A) } 108}.

 

Solution 2

Notice that for the 3rd most outer ring of the circle, the ratio of the shaded region to non-shaded region is the ratio of \angle{BOC} to 360-\angle{BOC}. With that, all we need to do is solve for the shaded region.

The inner most circle has radius 1, and the second circle has radius 2. Therefore, the first shaded area has 4 \pi - \pi = 3 \pi area. The circle has total area 9 \pi, so the other shaded region must have 1.5 \pi area, as the non-shaded and shaded area is equivalent. So for the 3rd outer ring, the total area is 9 \pi - 4 \pi = 5 \pi, so the non-shaded part of the outer ring is 5 \pi - 1.5 \pi = 3.5 \pi.

Now as said before, the ratio of these two areas is the ratio of \angle{BOC} and 360 - \angle{BOC}. So, \frac{3.5}{1.5} = \frac{7}{3}. We have 7x:3x where 7x+3x = 360, x = 36, so our answer is 3x = 108, \boxed{(A) 108}.

Link Problem
Problem 19 Hard

Jordan owns 15 pairs of sneakers. Three fifths of the pairs are red and the rest are white. Two thirds of the pairs are high-top and the rest are low-top. The red high-top sneakers make up a fraction of the collection. What is the least possible value of this fraction?

  • A.

    0

  • B.

    \frac 15

  • C.

    \frac {4}{15}

  • D.

    \frac 13

  • E.

    \frac 25

Answer:C

Solution 1

Jordan has 10 high top sneakers, and 6 white sneakers. We would want as many white high-top sneakers as possible, so we set 6 high-top sneakers to be white. Then, we have 10-6=4 red high-top sneakers, so the answer is \boxed{\dfrac{4}{15}}.

 

Solution 2

We first start by finding the amount of red and white sneakers. 3/5 * 15=9 red sneakers, so 6 are white sneakers. Then 2/3 * 15=10 are high top sneakers, so 5 are low top sneakers. Now think about 15 slots and the first 10 are labeled high top sneakers. if we insert the last 5 sneakers as red sneakers there are 4 leftover over red sneakers. Putting those four sneakers as high top sneakers we have our answer as C, or \boxed{\dfrac{4}{15}}.

Link Problem
Problem 20 Hard

Any three vertices of the cube PQRSTUVW, shown in the figure below, can be connected to form a triangle. (For example, vertices P, Q, and R can be connected to form isosceles \triangle PQR.) How many of these triangles are equilateral and contain P as a vertex?

  • A.

    0

  • B.

    1

  • C.

    2

  • D.

    3

  • E.

    6

Answer:D

Solution 1

The only equilateral triangles that can be formed are through the diagonals of the faces of the square. From P you have 3 possible vertices that are possible to form a diagonal through one of the faces. Therefore, there are 3 possible triangles. So the answer is \boxed{\textbf{(D) }3}.

 

Solution 2

Each other compatible point must be an even number of edges away from P, so the compatible points are R, V, and T. Therefore, we must choose two of the three points, because P must be a point in the triangle. So, the answer is {3 \choose 2} = \boxed{\textbf{(D) }3}.

Link Problem
Problem 21 Hard

A group of frogs (called an army) is living in a tree. A frog turns green when in the shade and turns yellow when in the sun. Initially, the ratio of green to yellow frogs was 3 : 1. Then 3 green frogs moved to the sunny side and 5 yellow frogs moved to the shady side. Now the ratio is 4 : 1. What is the difference between the number of green frogs and the number of yellow frogs now?

  • A.

    10

  • B.

    12

  • C.

    16

  • D.

    20

  • E.

    24

Answer:E

Solution 1

Let the initial number of green frogs be g and the initial number of yellow frogs be y. Since the ratio of the number of green frogs to yellow frogs is initially 3 : 1, g = 3y. Now, 3 green frogs move to the sunny side and 5 yellow frogs move to the shade side, thus the new number of green frogs is g + 2 and the new number of yellow frogs is y - 2. We are given that \frac{g + 2}{y - 2} = \frac{4}{1}, so g + 2 = 4y - 8, since g = 3y, we have 3y + 2 = 4y - 8, so y = 10 and g = 30. Thus the answer is (g + 2) - (y - 2) = 32 - 8 = \boxed{(E) \hspace{1 mm} 24}.

 

Solution 2

Since the original ratio is 3:1 and the new ratio is 4:1, the number of frogs must be a multiple of 12, the only solutions left are (B) and (E).

Let's start with 12 frogs:

We must have 9 frogs in the shade and 3 frogs in the sun. After the change, there would be 11 frogs in the shade and 1 frog in the sun, which is not a 4:1 ratio.

Therefore the answer is: \boxed{(E) \hspace{1 mm} 24}.

Link Problem
Problem 22 Hard

A roll of tape is 4 inches in diameter and is wrapped around a ring that is 2 inches in diameter. A cross section of the tape is shown in the figure below. The tape is 0.015 inches thick. If the tape is completely unrolled, approximately how long would it be? Round your answer to the nearest 100 inches.

  • A.

    300

  • B.

    600

  • C.

    1200

  • D.

    1500

  • E.

    1800

Answer:B

Solution 1

The roll of tape is 1/0.015=66 layers thick. In order to find the total length, we have to find the average of each concentric circle and multiply it by 66. Since the diameter of the small circle is 2 inches and the diameter of the large one is 4 inches, the "middle value" (or mean) is 3.

Therefore, the average circumference is 3\pi. Multiplying 3\pi \cdot 66 gives approximately (B) \boxed{600}.

 

Solution 2

There are about \dfrac{1}{0.015}=\dfrac{200}{3} "full circles" of tape, and with average circumference of \dfrac{4+2}{2}\pi=3\pi. \dfrac{200}{3} \cdot 3\pi=200\pi, which means the answer is \boxed{600}.

Link Problem
Problem 23 Hard

Rodrigo has a very large sheet of graph paper. First he draws a line segment connecting point (0,4) to point (2,0) and colors the 4 cells whose interiors intersect the segment, as shown below. Next Rodrigo draws a line segment connecting point (2000,3000) to point (5000,8000). How many cells will he color this time?

  • A.

    6000

  • B.

    6500

  • C.

    7000

  • D.

    7500

  • E.

    8000

Answer:C

Let f(x, y) be the number of cells the line segment from (0, 0) to (x, y) passes through. The problem is then equivalent to finding

f(5000-2000, 8000-3000)=f(3000, 5000).

Sometimes the segment passes through lattice points in between the endpoints, which happens \text{gcd}(3000, 5000)-1=999 times. This partitions the segment into 1000 congruent pieces that each pass through f(3, 5) cells, which means the answer is

1000f(3, 5).

Note that a new square is entered when the lines pass through one of the lines in the coordinate grid, which for f(3, 5) happens 3-1+5-1=6 times. Because 3 and 5 are relatively prime, no lattice point except for the endpoints intersects the line segment from (0, 0) to (3, 5). This means that including the first cell closest to (0, 0), The segment passes through f(3, 5)=6+1=7 cells. Thus, the answer is \boxed{\textbf{(C)}7000}. Alternatively, f(3, 5) can be found by drawing an accurate diagram, leaving you with the same answer.

Link Problem
Problem 24 Hard

Jean has made a piece of stained glass art in the shape of two mountains, as shown in the figure below. One mountain peak is 8 feet high while the other peak is 12 feet high. Each peak forms a 90^\circ angle, and the straight sides form a 45^\circ angle with the ground. The artwork has an area of 183 square feet. The sides of the mountain meet at an intersection point near the center of the artwork, h feet above the ground. What is the value of h?

  • A.

    4

  • B.

    5

  • C.

    4 \sqrt2

  • D.

    6

  • E.

    5 \sqrt2

Answer:B

Extend the "inner part" of the mountain so that the image is two right triangles that overlap in a third right triangle as shown.

The side length of the largest right triangle is 12\sqrt{2}, which means its area is 144. Similarly, the area of the second largest right triangle is 64 (the side length is 8\sqrt{2}), and the area of the overlap is h^2 (the side length is h\sqrt{2}). Because the right triangles have a side ratio of 1:1:\sqrt{2}.Thus,

144+64-h^2=183,

which means that the answer is \boxed{\mathbf{(B)} 5}.

Link Problem
Problem 25 Hard

A small airplane has 4 rows of seats with 3 seats in each row. Eight passengers have boarded the plane and are distributed randomly among the seats. A married couple is next to board. What is the probability there will be 2 adjacent seats in the same row for the couple?

  • A.

    \frac{8}{15}

  • B.

    \frac{32}{55}

  • C.

    \frac{20}{33}

  • D.

    \frac{34}{55}

  • E.

    \frac{8}{11}

Answer:C

Solution 1 

Suppose the passengers are indistinguishable. There are \binom{12}{8} = 495 total ways to distribute the passengers. We proceed with complementary counting, and instead, will count the number of passenger arrangements such that the couple cannot sit anywhere. Consider the partitions of 8 among the rows of 3 seats, to make our lives easier, assuming they are non-increasing. We have (3, 3, 2, 0), (3, 3, 1, 1), (3, 2, 2, 1), (2, 2, 2, 2).

For the first partition, clearly, the couple will always be able to sit in the row with 0 occupied seats, so we have 0 cases here.

For the second partition, there are \frac{4!}{2!2!} = 6 ways to permute the partition. Now the rows with exactly 1 passenger must be in the middle, so this case generates 6 cases.

For the third partition, there are \frac{4!}{2!} = 12 ways to permute the partition. For rows with 2 passengers, there are \binom{3}{2} = 3 ways to arrange them in the row so that the couple cannot sit there. The row with 1 passenger must be in the middle. We obtain 12 \cdot 3^2 = 108 cases.

For the fourth partition, there is 1 way to permute the partition. As said before, rows with 2 passengers can be arranged in 3 ways, so we obtain 3^4 = 81 cases.

Collectively, we obtain a total of 6 + 108 + 81 = 195 cases. The final probability is 1 - \frac{195}{495} = \boxed{\textbf{(C)}~\frac{20}{33}}.

 

Solution 2

Suppose the passengers are indistinguishable.

What this question is asking, is really, if 4 empty seats are placed, what is the probability that there are 2 adjacent seats open.

We proceed by casework.

Case 1: There is exactly one pair of open seats. Then the other seat in that row must be occupied. The other two empty seats are distributed across the remaining 3 rows without being adjacent, which is \binom{9}{2}-6=30 cases per pair of open seats for 30\cdot8=240 total cases.

Case 2: There is one row of open seats. 4 ways to choose the row and 9 to choose the final empty seat for 4\cdot9=36 cases.

Case 3: There are 2 independent pairs of open seats. Choose the 2 rows, then the placement of each pair within each row for \binom{4}{2}\cdot2^2=24 cases.

In total, we get 240+36+24=300 cases total for a probability of

\frac{300}{\binom{12}{4}}=\frac{300}{495}=\boxed{\mathbf{(C)}~\frac{20}{33}}

Link Problem
Table of Contents
  • 1
  • 2
  • 3
  • 4
  • 5
  • 6
  • 7
  • 8
  • 9
  • 10
  • 11
  • 12
  • 13
  • 14
  • 15
  • 16
  • 17
  • 18
  • 19
  • 20
  • 21
  • 22
  • 23
  • 24
  • 25